Renaud JM, Moody JB, Vanderver MD, Poitrasson-Rivière A, Buckley CJ, Ficaro EP, Murthy VL. Diagnostic performance of ¹⁸F-flurpiridaz PET myocardial perfusion imaging with total perfusion deficit quantification. Journal of Nuclear Cardiology. 2025;102266.
Description:
This multicenter prospective study, published in the Journal of Nuclear Cardiology (2025), evaluated the diagnostic accuracy of automated total perfusion deficit (TPD) quantification using 4DM software in PET myocardial perfusion imaging (MPI) with ¹⁸F-flurpiridaz—the latest tracer approved for the evaluation of coronary artery disease (CAD).
Note: Flurpiridaz is marketed under the brand name Flyrcado.
The study included patients with suspected or known coronary artery disease (CAD) who underwent rest-stress PET imaging with ¹⁸F-flurpiridaz. 4DM software was used to automatically process the images and calculate TPD.

What is TPD?
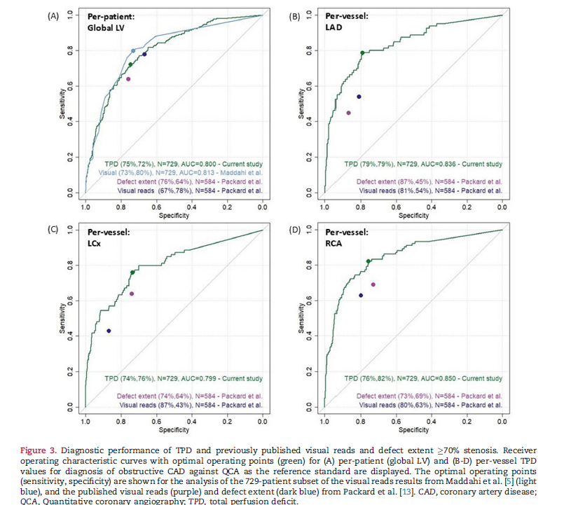
TPD quantifies both the extent and severity of perfusion defects into a single, interpretable metric, offering a clear measure of the total burden of ischemia.
Key Findings:
The study found, “The use of TPD for coronary artery disease detection with flurpiridaz PET MPI achieves
similar diagnostic performance to visual scoring and defect extent, thus it can be considered in clinical use to assist in accurate patient diagnosis.”


Clinical Relevance:
The study validates TPD as a standardized, quantitative, and fully automated method for detecting CAD using this new PET tracer.
Partners in Research:
INVIA Medical Imaging Solutions, GE Healthcare, and the Division of Cardiovascular Medicine in the Department of Internal Medicine at the University of Michigan collaborated on this research.